Home
Home
Government
Departments
Utilities
Business
Visitors
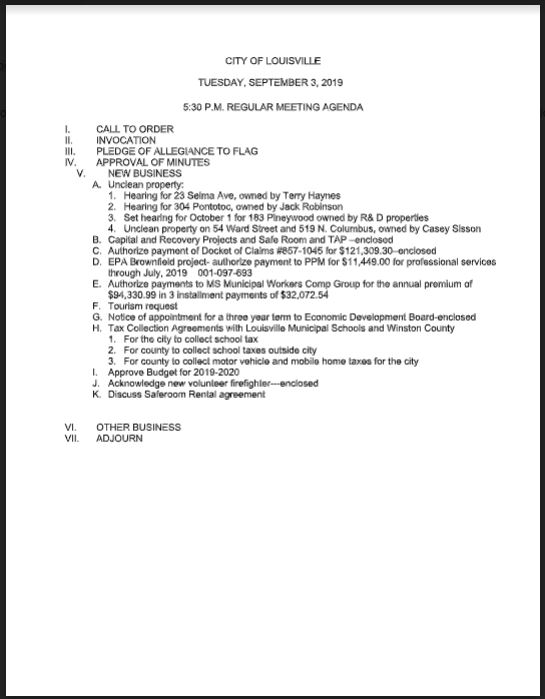
Tuesday, September 3, 2019
Meeting Agenda - Sept. 3
Newer Post
Older Post
Home